学生处(团委)

0554-5693208

0554-5693225

学生资助
您当前的位置:首页 > 学生资助

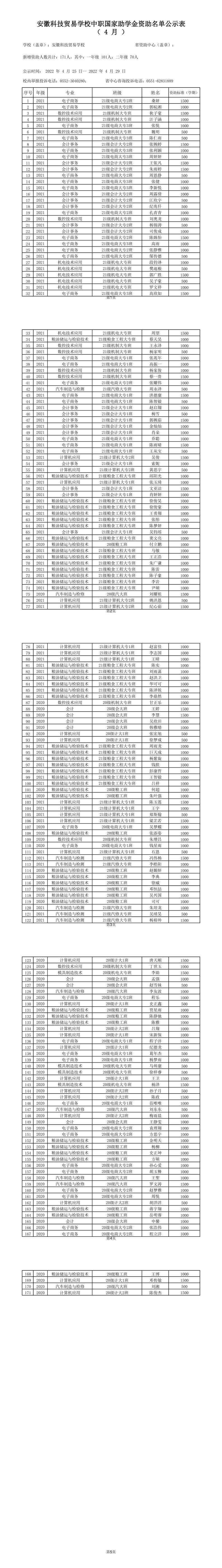
2022年春季安徽科技贸易学校助学金名单公示

发布时间:2022-04-25       供稿:张楠     审核:刘传勋     信息来源:        阅读次数:

2022春助学金公示(171人).png